
寄付総額
目標金額 3,000,000円
- 寄付者
- 188人
- 募集終了日
- 2023年11月30日
少しずつデータをまとめています2
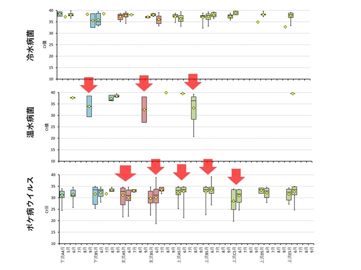
先日に引き続き、他河川のPCR結果のデータをまとめてみました。グラフの見方は前回と同じですが、今回は2021年から4年分の大量データをまとめたものになります。
さて結果です。どうやらこの川の場合、5月と6月が冷水病菌やボケ病ウイルスの高い検出頻度を示すようで、それら病気の流行シーズンと想定されます。そして、支流やダム上の上流地点で梅雨時期にはボケ病ウイルス、夏になると今度は温水病菌の検出量が目立って多くなり、こうした動きは4年間の冷水病菌では見られていません。つまり、これまで誰しもがよく知る「あゆの病気=冷水病」の懸念から、新たな病気の問題が加わったということです。たまに聞かれる質問ですが、「見た目のきれいな川は病気がないのでは?」。答えは、「決してそんなことはありません」。そこには必ず科学的な理由があります。
坂本龍馬も幼いころに泳いだ川の今の現状を知ればきっと驚くでしょう。またまだ解析していきます。
ギフト
3,000円+システム利用料
A 3,000円コース
①寄附金領収書 ※1
②感謝のメール
③高知大学のホームページにお名前掲載(希望制)
※1 寄附金領収書は、READYFORから高知大学に入金のある2024年1月10日(水)の日付で、2024年2月末までに送付します。なお寄附金領収書の宛先は、ご寄付時に「ギフトお届け先」欄に入力いただいたご住所・お名前となります。
- 申込数
- 54
- 在庫数
- 制限なし
- 発送完了予定月
- 2024年2月
10,000円+システム利用料
B 10,000円コース
①寄附金領収書 ※1
②感謝のメール
③高知大学のホームページにお名前掲載(希望制)
④研究報告書(PDF)※2
⑤研究報告書にお名前または企業ロゴ掲載(希望制・ニックネーム可)
※1 寄附金領収書は、READYFORから高知大学に入金のある2024年1月10日(水)の日付で、2024年2月末までに送付します。なお寄附金領収書の宛先は、ご寄付時に「ギフトお届け先」欄に入力いただいたご住所・お名前となります。
※2 研究報告は、READYFORのメッセージ機能にてPDFのダウンロードリンクを送付いたします。発送完了予定月までにREADYFORを退会しておりますとお送りできなくなりますので、ご注意ください。
- 申込数
- 94
- 在庫数
- 制限なし
- 発送完了予定月
- 2027年3月
3,000円+システム利用料
A 3,000円コース
①寄附金領収書 ※1
②感謝のメール
③高知大学のホームページにお名前掲載(希望制)
※1 寄附金領収書は、READYFORから高知大学に入金のある2024年1月10日(水)の日付で、2024年2月末までに送付します。なお寄附金領収書の宛先は、ご寄付時に「ギフトお届け先」欄に入力いただいたご住所・お名前となります。
- 申込数
- 54
- 在庫数
- 制限なし
- 発送完了予定月
- 2024年2月
10,000円+システム利用料
B 10,000円コース
①寄附金領収書 ※1
②感謝のメール
③高知大学のホームページにお名前掲載(希望制)
④研究報告書(PDF)※2
⑤研究報告書にお名前または企業ロゴ掲載(希望制・ニックネーム可)
※1 寄附金領収書は、READYFORから高知大学に入金のある2024年1月10日(水)の日付で、2024年2月末までに送付します。なお寄附金領収書の宛先は、ご寄付時に「ギフトお届け先」欄に入力いただいたご住所・お名前となります。
※2 研究報告は、READYFORのメッセージ機能にてPDFのダウンロードリンクを送付いたします。発送完了予定月までにREADYFORを退会しておりますとお送りできなくなりますので、ご注意ください。
- 申込数
- 94
- 在庫数
- 制限なし
- 発送完了予定月
- 2027年3月

ぬるぬるのお引越|万博・落合陽一 null²パビリオン次なる場所へ
#ものづくり
- 現在
- 223,461,500円
- 支援者
- 13,085人
- 残り
- 28日

地域医療を守るため、ともに走ろう|ドクターカー更新プロジェクト
- 現在
- 8,445,000円
- 寄付者
- 276人
- 残り
- 28日

HBOCで発症する男性のがん「前立腺がん」早期発見を目指す臨床研究
- 現在
- 2,935,000円
- 寄付者
- 63人
- 残り
- 27日

生まれつきの心臓の病気「先天性心疾患」 遺伝子解析から未来の医療へ
- 現在
- 8,403,000円
- 寄付者
- 242人
- 残り
- 28日

緊急支援|フィリピン地震へのご支援を
- 現在
- 1,628,000円
- 寄付者
- 222人
- 残り
- 9日

国宝 彦根城、日本の遺産を未来へつなぐ|高橋架け替えで蘇る大名庭園
- 現在
- 8,045,000円
- 寄付者
- 197人
- 残り
- 35日

ドクタージェット、ついに全国の空へ。医療現場での普及活動にご支援を
- 総計
- 92人










